背景:
在大规模阵列及智能超表面迅猛发展的大背景下,移相器的电可调特性及宽相域特性一直是国内外研究的热点。项目对谐振器的多模幅度和相位特性及其在宽相域电调移相器的综合设计和运用方面展开了研究,本项目的研究成果可为复杂电磁环境下大规模阵列及智能超表面精准电磁波调控提供理论和技术支撑。
研究内容:
a) 传输型耦合结构的多模幅相特性研究
如图1,传输型结构由一个可调谐的移相单元和一个全通传输线组成,分别实现连接输入输出端口的两条不同传输路径。该结构可通过控制谐振状态实现斯密斯圆图上开路短路点的覆盖,即单级网络可实现180°以上的移相范围,如图2所示。此类双路径结构非常适用于传输型滤波移相器的设计,例如无反射型移相器、滤波型移相器等。

图1 传输型多模耦合结构 (a)电路结构 (b)奇/偶模分析模型 (c)多谐振相位分析

(a) (b)
图2 传输型多模耦合结构特性曲线 (a)幅度响应 (b)相位响应
b) 反射型耦合结构的多模幅相特性研究
反射型结构采用基于双端电容-电感加载耦合线的反射负载网络组成,如图3(a)。通过传输线及电感网络可直接为变容二极管提供直流馈电,且采用相同偏置可节省驱动资源;此外,不同感值的电感有助于构建不同的谐振状态,当实现两种谐振状态(两个短路点和一个开路点)多次覆盖时,该反射型结构可实现360°全相位覆盖。

图3 反射型多模耦合结构 (a)电路结构 (b)奇偶模分析模型 (c)多谐振相位分析
为进一步实现频率与相位同步调控,提出了基于简化耦合线拓扑与双偏置网络的带宽增强型电可调反射式移相器,如图4。基于耦合线的耦合器不仅支持连续频率调谐,还能在较宽带宽内保持稳定的90°正交相位差,同时兼具良好的回波损耗与隔离度。基于耦合线的多模反射负载则保障了器件在整个可调频段内实现360°全覆盖相位调节。相较于传统设计,该结构仅采用两套偏置网络分别控制耦合器与反射负载中的变容二极管,实现了对可调耦合器与反射负载的奇偶模独立调控,显著降低了偏置资源需求。

图4 所提出的频率-相位可调移相器的幅相分析

(a) (b)

(c) (d)
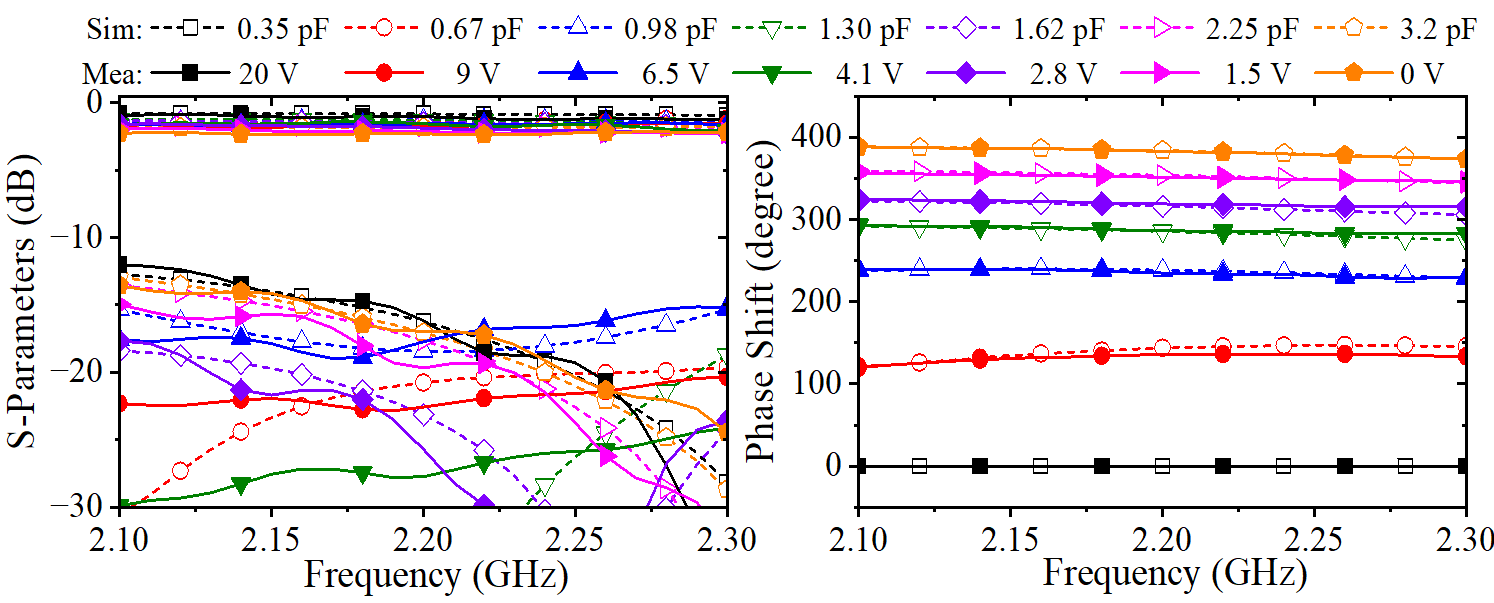
图5所设计频率-相位可调移相器幅相测试结果 (a) 1.7 GHz下幅度曲线 (b)1.7 GHz 下相位曲线 (c) 2.2 GHz下幅度曲线 (d)2.2 GHz下相位曲线
参考文献:
[1] X. Yang#, L. Deng, S. Huang, Z.-A. Ouyang, L.-L. Qiu*, and L. Zhu, “Tunable phase shifter with broad phase shift range and reflectionless characteristic,” IEEE Microw. Wireless Tech. Lett., vol. 35, no. 11, pp. 1728–1731, Nov. 2025.
[2] L.-L. Qiu#*, Y. Guo, Z.-C. Zhang*, L. Deng, and L. Zhu, “360° balanced tunable reflection-type phase shifter with high common-mode suppression,” IEEE Microw. Wireless Tech. Lett., vol. 35, no. 3, pp. 298–301, Mar. 2025.
[3] L.-L. Qiu#, X. Yang*, L. Deng, S. Huang, Z. -A. Ouyang, L. Zhu, “Coupled-line-based reflection-type phase shifter with simplified dual bias network for concurrent 360° phase and frequency tunning,” IEEE Microw. Wireless Tech. Lett., Dec. 2025. Early Access. DOI: 10.1109/LMWT.2025.3647691
